Estrés térmico

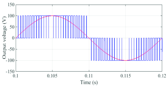
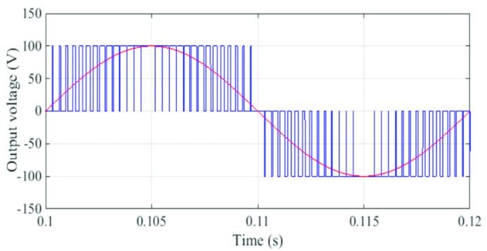
El IGBT es un elemento de la familia de la electrónica de potencia y se encuentra en el interior de los variadores de frecuencia, donde su función es la de ‘trocear’ la señal de tensión continua que recibe para obtener una señal de pulso variable modulado en frecuencia y tensión (PWM).

Modulación por pulsos ideal

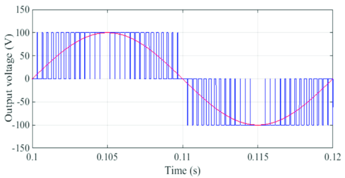
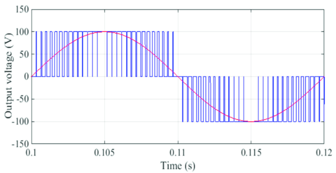
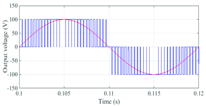
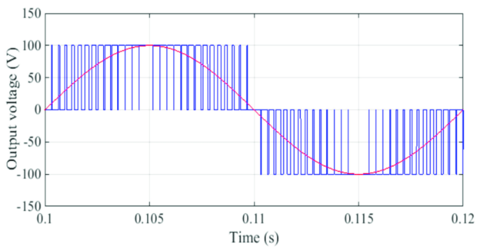
             Modulación por pulsos real

¿Quiere ojearlo más de cerca?

Sintetizando, un IGBT funciona como la combinación entre un MOSFET y un transistor (en su forma ideal). Teóricamente hablando, el IGBT tiene una capa adicional p+ que mientras conduce inyecta huecos a la capa n-. Bueno, todo acaba resumiéndose en las siguientes características:

  • Consigue reducir la caída de tensión en conducción.
  • No permite conducir la corriente de modo inverso.
  • Tiene menores pérdidas por conducción.
  • Produce mayores pérdidas por conmutación.

Modulación por pulsos ideal

Modulación por pulsos real

¿Por qué se calientan tanto?

Como en todo elemento electrónico, tenemos pérdidas energéticas internas, pérdidas traducidas en disipación del calor, y estas se dividen en pérdidas por conducción y por conmutación.

Comportamiento eléctrico en la conmutación del IGBT

En sí, las pérdidas de conducción se generan por la energía disipada en forma de calor cuando el componente está dejando pasar corriente de forma constante, y es el resultado de la caída de tensión que se genera por la conducción instantánea, siempre entre colector y emisor

Por otro lado, las pérdidas por conmutación suceden cuando el IGBT se enciende o apaga, es decir, cuando permite pasar o no la corriente. La energía que perdemos en el encendido o el apagado es la resultante de la variación de tensión por la corriente entre colector y emisor durante el tiempo que tarda (tr) en activarse o desconectarse.

Periodo de tiempo (tr) de activación del IGBT

Comportamiento eléctrico real de la gama de IGBTs de Infineon

Caso real: Incorrecta refrigeración de un IGBT

En Ingesis Automatización hemos registrado multitud de casos donde, debido a una temperatura ambiente muy elevada, una obstrucción parcial del disipador, o bien por picos de corriente muy elevados, el variador de frecuencia no ha sido capaz de disipar toda la potencia calorífica emitida por los SCRs e IGBTs, acabando por crear degradaciones internas.

Los variadores de frecuencia Danfoss tienen varias capas de protección por temperatura tanto en los elementos de potencia como en otros puntos internos del equipo, evitando graves daños por temperatura al parar la marcha motor, cuando se superan los límites de funcionamiento. Aun así, un continuado estrés térmico cercano a los límites de trabajo a lo largo del tiempo debido a factores externos anteriormente descritos causará leves degradaciones en este elemento, lo que si se produce de forma prolongada, reducirá la vida útil del equipo. En las imágenes que os mostramos a continuación, podréis observar cómo uno de los IGBTs ha sido sometido a un estrés térmico prolongado en el tiempo.

IGBT con buen aspecto interno

IGBT con buen degradación interna

Como usuarios, ¿qué podemos hacer para evitar esta situación?
  • Mantener la sala o armario eléctrico donde está instalado el equipo, bien ventilada y con temperaturas por debajo de los 40ºC.
  • Evitar la obstrucción parcial de los canales de disipación, manteniendo limpia la sala, sobre todo evitando que haya bolsas, hojas, plásticos, polvo denso húmedo o similares que puedan bloquear la entrada de aire al disipador.
  • Asegurarse que el equipo está correctamente dimensionado para los valores de consumo de la instalación. Un equipo muy ajustado, trabajará más tiempo a sus valores máximos, por lo que será más susceptible de ocasionar este tipo de problemas, sobre todo si los puntos anteriores no se cumplen al 100%.

Ejemplo disipador parcialmente obstruido por exceso de polvo + humedad en el ambiente

¿Cómo evita Danfoss este estrés térmico?

Aparte de la ventilación forzada mediante potentes ventiladores DC, todos los equipos incorporan protecciones térmicas, o bien por sensores de temperatura internos o bien por calculo teórico del modelo térmico. Además, Danfoss en los formatos de potencias más elevadas, ha diseñado un sistema de refrigeración único y de alto rendimiento haciendo que los semiconductores disipen todas estas pérdidas en el menor tiempo posible y así haciendo que funcionen en la temperatura óptima para un trabajo más eficiente.

Esto lo consigue a través de unas tuberías de cobre donde se crea un circuito cerrado de trabajo de fluidos, donde se evapora y condensa de forma cíclica, siendo 100 veces más conductor del calor que el aluminio puro. 

Funcionamiento del circuito cerrado de fluidos

Ejemplo del funcionamiento del sistema de refrigeración

Suscríbete a nuestra newsletter